| m | deaths | logdose |
|---|---|---|
| 59 | 6 | 1.6907 |
| 60 | 13 | 1.7242 |
| 62 | 18 | 1.7552 |
| 56 | 28 | 1.7842 |
| 63 | 52 | 1.8113 |
| 59 | 53 | 1.8369 |
| 62 | 61 | 1.8610 |
| 60 | 60 | 1.8839 |
Statistics III - CdL SSE
Università degli Studi di Milano-Bicocca

This unit will cover the following topics:
GLMs are regression models with a linear predictor, where the response variable follows an exponential dispersion family.
The symbol 📖 means that a few extra steps are discussed in the handwritten notes.
GLMs are a class of regression models in which a response random variable Y_i is modeled as a function of a vector of covariates \bm{x}_i \in \mathbb{R}^p.
The random variables Y_i are not restricted to be Gaussian. For example:
Gaussian linear models are a special case of GLMs, arising when Y_i \in (-\infty,\infty).
The response random variables are collected in the random vector \bm{Y} = (Y_1,\dots,Y_n)^T, whose observed realization is \bm{y} = (y_1,\dots,y_n)^T.
The design matrix \bm{X} is an n \times p non-stochastic matrix containing the covariate values. The jth variable (column) is denoted by \tilde{\bm{x}}_j, while the ith observation (row) is \bm{x}_i.
We assume that \bm{X} has full rank, that is, \text{rk}(\bm{X}) = p with p \le n.
Beetles data, from Bliss (1935)Beetles dataset originates from Bliss (1935). It records the number of adult flour beetles that died after a 5-hour exposure to gaseous carbon disulphide.| m | deaths | logdose |
|---|---|---|
| 59 | 6 | 1.6907 |
| 60 | 13 | 1.7242 |
| 62 | 18 | 1.7552 |
| 56 | 28 | 1.7842 |
| 63 | 52 | 1.8113 |
| 59 | 53 | 1.8369 |
| 62 | 61 | 1.8610 |
| 60 | 60 | 1.8839 |
We aim to predict the proportion of deaths as a function of logdose.
Modeling death proportions directly with linear models is inappropriate. A variable transformation provides a more principled solution, but it comes with drawbacks.
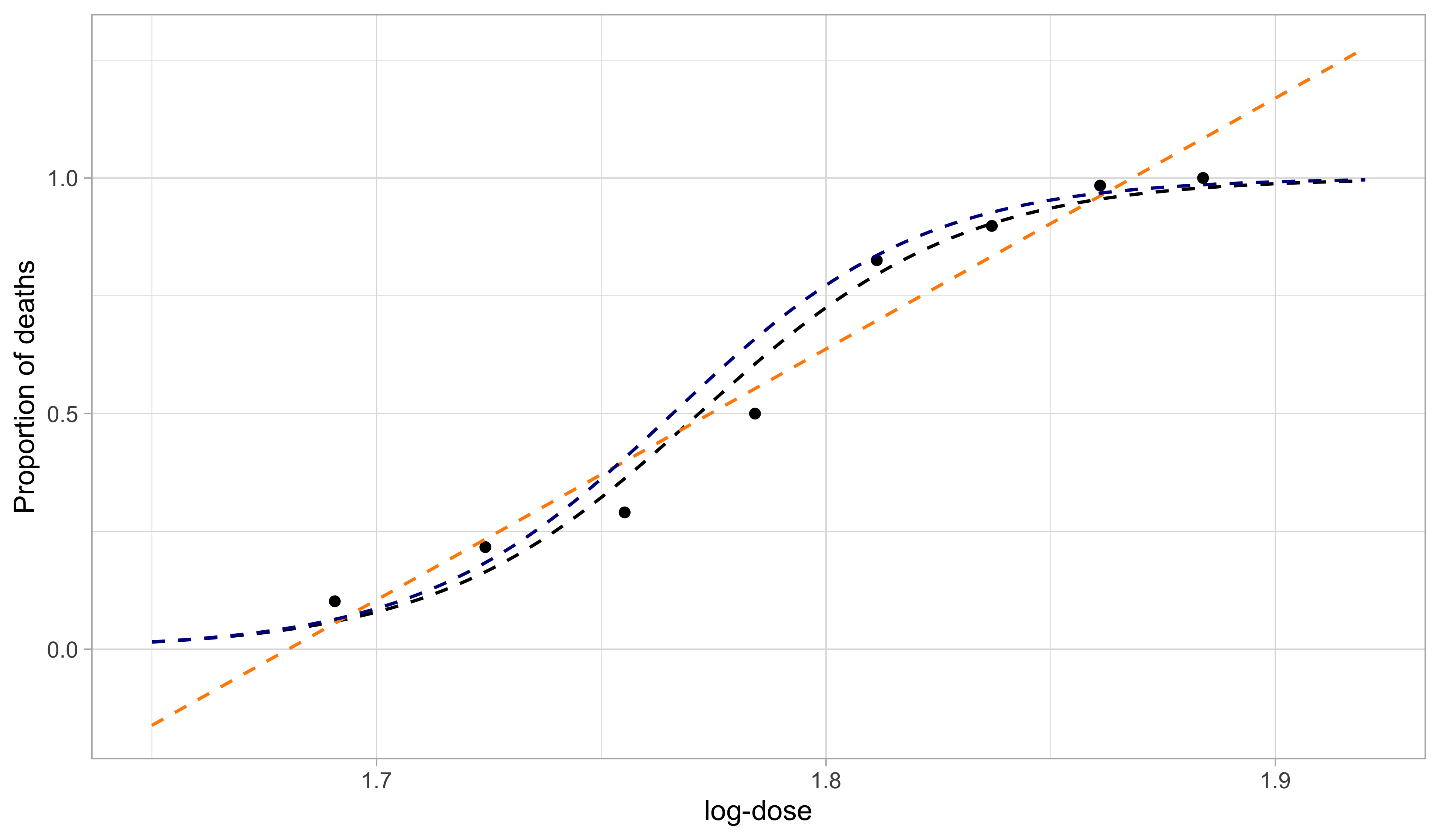
Beetles data, a dose-response plotBeetles dataLet S_i be the number of dead beetles out of m_i, and let x_i denote the log-dose. By definition, S_i \in \{0, 1, \dots, m_i\} for i = 1,\dots,8.
It is natural to model each S_i as independent binomial random variables, counting the number of deaths out of m_i individuals. In other words: S_i \overset{\text{ind}}{\sim} \text{Binomial}(m_i, \pi_i), \qquad i = 1,\dots,8, where \pi_i is the probability of death at a given dose x_i. Moreover, et Y_i = S_i / m_i be the proportion of deaths, then: \mathbb{E}(Y_i) = \mathbb{E}\left(\frac{S_i}{m_i}\right) = \pi_i = \mu_i.
A modeling approach, called logistic regression, specifies:
g(\pi_i) = \log\left(\frac{\pi_i}{1 - \pi_i}\right) = \beta_1 + \beta_2 x_i \quad \Longrightarrow \quad \pi_i = g^{-1}(\beta_1 + \beta_2 x_i) = \frac{\exp(\beta_1 + \beta_2 x_i)}{1 + \exp(\beta_1 + \beta_2 x_i)}.
for some parameters \beta_1, \beta_2 \in \mathbb{R}. Note that \pi_i \in (0, 1) by construction.
Beetles data, fitted modelLet Y_i = S_i / m_i be the proportion of deaths. A direct application of linear models implies: Y_i = \beta_1 + \beta_2 x_i + \epsilon_i. The coefficients \beta_1 and \beta_2 are then estimated using OLS using Y_i as response.
The prediction \hat{\beta}_1 + \hat{\beta}_2 x_i is unrestricted, meaning it could produce values like “1.3” or “-2” as estimated proportions, which is clearly undesirable.
The additive structure Y_i = \beta_1 + \beta_2 x_i + \epsilon_i cannot hold with iid errors \epsilon_i, because S_i, and thus Y_i, are discrete. As a result, the errors are always heteroschedastic.
If m_i = 1, i.e. when the data are binary, all the above issues are exacerbated.
This approach is sometimes called the linear probability model. Before GLMs, it was considered acceptable despite its issues, but by modern standards it should not be used.
We consider the empirical logit variable transformation of Y_i = S_i / m_i, obtaining
\text{logit}(\tilde{Y}_i) = \log\left(\frac{S_i + 0.5}{m_i - S_i + 0.5}\right) = \beta_1 + \beta_2 x_i + \epsilon_i, \qquad \tilde{Y}_i = \frac{S_i + 0.5}{m_i +1}.
A correction term is necessary because otherwise g(\cdot) = \text{logit}(\cdot) is undefined. The predictions belong to (0, 1), since
\hat{\pi}_i = g^{-1}[\mathbb{E}\{g(\tilde{Y}_i)\}] = g^{-1}(\hat{\beta}_1 + \hat{\beta}_2 x_i) = \frac{\exp(\hat{\beta}_1 + \hat{\beta}_2 x_i)}{1 + \exp(\hat{\beta}_1 + \hat{\beta}_2 x_i)}, in which \hat{\beta}_1 and \hat{\beta}_2 are estimated with OLS using \text{logit}(\tilde{Z}_i) as response.
The interpretation of \hat{\beta} is less clear, as they refer to the mean of \text{logit}(\tilde{Y}_i) instead of \mathbb{E}(Y_i).
An arbitrary boundary correction is needed.
Inference is problematic and requires further corrections, because of heteroschedastic errors.
This approach is not compatible with the reasonable assumption S_i \sim \text{Binomial}(m_i, \pi_i).
Aids datadeaths in Australia in a sequence of three-months periods between 1983 and 1986.| 1983-1 | 1984-1 | 1985-1 | 1986-1 | 1983-2 | 1984-2 | 1985-2 | |
|---|---|---|---|---|---|---|---|
| deaths | 0 | 1 | 2 | 3 | 1 | 4 | 8 |
| period | 1 | 2 | 3 | 4 | 5 | 6 | 7 |
| 1986-2 | 1983-3 | 1984-3 | 1985-3 | 1986-3 | 1983-4 | 1984-4 | |
|---|---|---|---|---|---|---|---|
| deaths | 17 | 23 | 32 | 20 | 24 | 37 | 45 |
| period | 8 | 9 | 10 | 11 | 12 | 13 | 14 |
We are interested in predicting the number of deaths as a function of the period of time.
The response variable Y_i \in \{0, 1, \dots\} is a non-negative count.
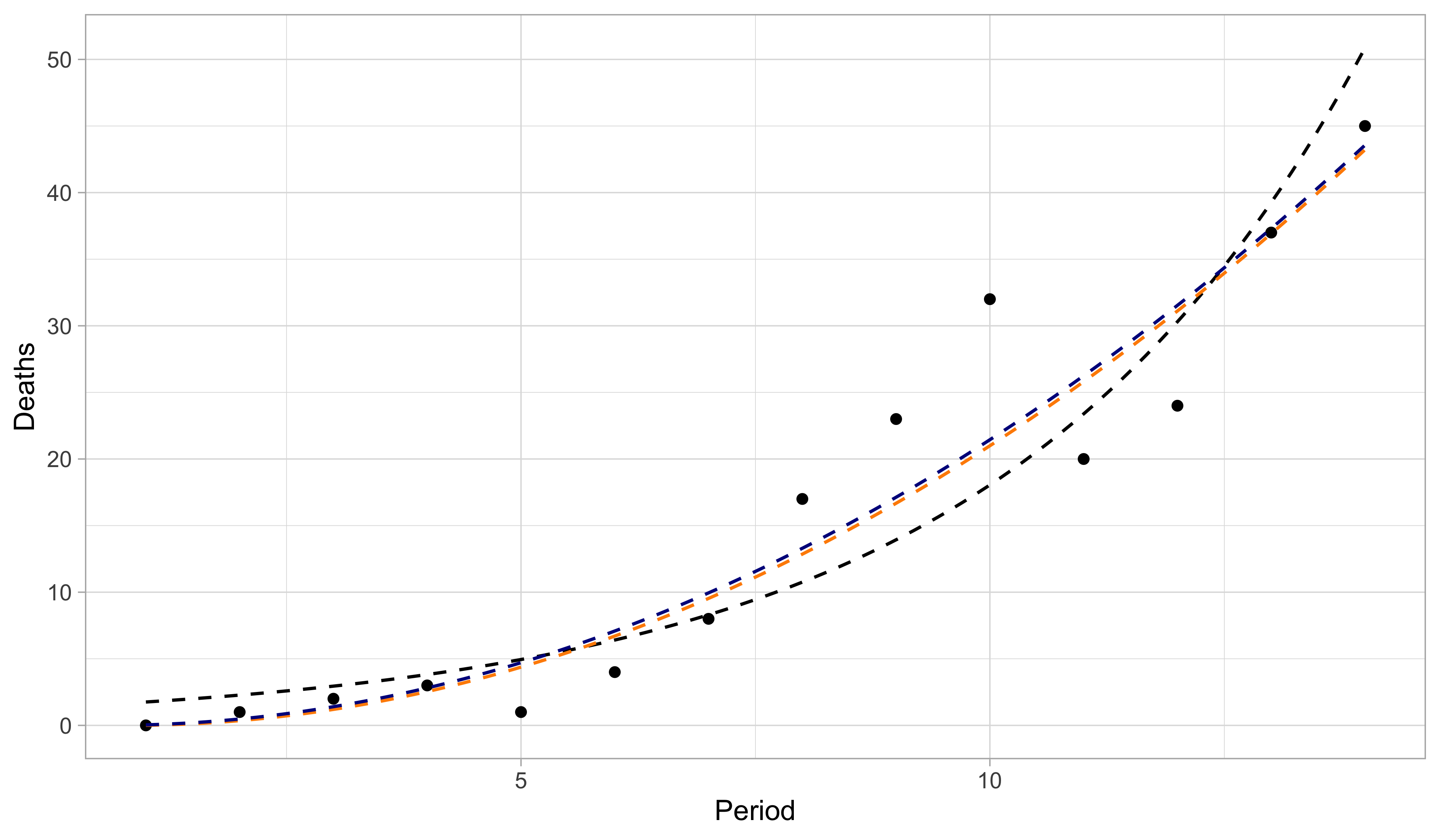
Aids data, scatter plotAids dataWe model Y_i as independent Poisson random variables, counting the number of deaths: Y_i \overset{\text{ind}}{\sim} \text{Poisson}(\mu_i), \qquad i = 1,\dots,14, where \mu_i is the mean of Y_i, namely \mathbb{E}(Y_i) = \mu_i.
A modeling approach, called Poisson regression, specifies:
g(\mu_i) = \log(\mu_i) = \beta_1 + \beta_2 x_i \quad \Longrightarrow \quad \mu_i = g^{-1}(\beta_1 + \beta_2 x_i) = \exp(\beta_1 + \beta_2 x_i),
for some parameters \beta_1, \beta_2 \in \mathbb{R}. Note that \mu_i > 0 by construction.
Under this specification, the variances of the observations are
\text{var}(Y_i) = \mu_i = \exp(\beta_1 + \beta_2 x_i),
which increases with x, as desired. This implies that Y_1,\dots,Y_n are heteroschedastic, but this is not an issue in GLMs, as this aspect is automatically accounted for.
Aids data, fitted modelWe consider the variance-stabilizing transformation S_i = \sqrt{Y_i}, obtaining
\sqrt{Y_i} = \beta_1 + \beta_2 x_i + \epsilon_i.
The predictions belong to (0, \infty), since
\hat{\mu}_i = \mathbb{E}(\sqrt{Y_i})^2 = (\hat{\beta}_1 + \hat{\beta}_2 x_i)^2, in which \hat{\beta}_1 and \hat{\beta}_2 are estimated with OLS using \sqrt{Y_i} as response.
The interpretation of \hat{\beta} is less clear, as they refer to the mean of \sqrt{Y}_i instead of \mathbb{E}(Y_i).
This approach is not compatible with the reasonable assumption Y_i \sim \text{Poisson}(\mu_i) and it only valid as an asymptotic approximation.
To compare such a model with a similar specification, we also fit another Poisson GLM in which Y_i \overset{\text{ind}}{\sim} \text{Poisson}(\mu_i), \qquad \sqrt{\mu_i} = \beta_1 + \beta_2 x_i, \qquad i=1,\dots,14.
Note that, in general, we cannot express the response in an additive way Y_i = g^{-1}(\eta_i) + \epsilon_i.
In GLMs the random variables Y_i are independent and they are distributed according to an exponential dispersion family, whose definition will be provided in a few slides.
The distributions most commonly used in Statistics, such as the normal, binomial, gamma, and Poisson, are exponential family distributions.
Exponential dispersion families are characterized by their mean and variance. Let v(\mu) > 0 be a function of the mean, called variance function and let a_i(\phi) >0 be functions of an additional unknown parameter \phi > 0 called dispersion.
In a GLMs the observations are independent draws from a distribution \text{ED}(\mu_i, a_i(\phi)v(\mu_i)): Y_i \overset{\text{ind}}{\sim} \text{ED}(\mu_i, a_i(\phi)v(\mu_i)), \qquad \mathbb{E}(Y_i) = \mu_i, \qquad g(\mu_i) = \bm{x}_i^T\beta, with \mu_i \in \mathcal{M}. Moreover, the variance is connected to the mean via v(\mu): \text{var}(Y_i) = a_i(\phi) v(\mu_i), where a_i(\phi) = \phi / \omega_i and \omega_i are known weights. Special cases are a_i(\phi) = \phi and a_i(\phi) = 1.
In a Gaussian linear model we consider the identity link g(\mu) = \mu and let Y_i \overset{\text{ind}}{\sim}\text{N}(\mu_i, \sigma^2), \qquad \mu_i = \bm{x}_i^T\beta. The unknown variance \sigma^2 = \phi is called dispersion in GLMs. The parameter space is \mathcal{M} = \mathbb{R}, whereas a_i(\phi) = \phi and the variance function is constant v(\mu) = 1 (homoschedasticity).
In a binomial regression model with logit link g(\mu) = \text{logit}(\mu) we let Y_i = S_i/m_i and S_i \overset{\text{ind}}{\sim}\text{Binomial}(m_i, \pi_i),\qquad \mathbb{E}\left(Y_i\right) = \pi_i = \mu_i, \qquad \text{logit}(\mu_i) = \bm{x}_i^T\beta. We have a_i(\phi) = 1/m_i and v(\mu) = \mu(1-\mu). There is no dispersion parameter.
In Poisson regression with logarithmic link g(\mu) = \log(\mu) we let Y_i \overset{\text{ind}}{\sim}\text{Poisson}(\mu), \qquad \log(\mu_i) = \bm{x}_i^T\beta. We have a_i(\phi) = 1 and v(\mu) = \mu. There is no dispersion parameter.
The prime role of exponential families in the theory of statistical inference was first emphasized by Fisher (1934).
Most well-known distributions—such as Gaussian, Poisson, Binomial, and Gamma—are instances of exponential families.
The density of Y_i belongs to an exponential dispersion family if it can be written as p(y_i; \theta_i, \phi) = \exp\left\{\frac{\theta_i y_i - b(\theta_i)}{a_i(\phi)} + c(y_i, \phi)\right\}, where y_i \in \mathcal{Y} \subseteq \mathbb{R}, \theta_i \in \Theta \subseteq\mathbb{R} and a_i(\phi) = \phi / \omega_i where \omega_i are known positive weights. The parameter \theta_i is called natural parameter while \phi is called dispersion parameter.
By specifying the functions a_i(\cdot), b(\cdot) and c(\cdot) one obtain a particular parametric model.
The support \mathcal{Y} of Y_i does not depend on the parameters \phi or \theta_i and b(\cdot) can be differentiated infinitely many times. In particular, this is a regular statistical model.
As mentioned, special cases are a_i(\phi) = \phi and a_i(\phi) = 1. When a_i(\phi) = 1 and c(y_i, \phi) = c(y_i) we obtain p(y_i; \theta_i) = \exp\left\{\theta_i y_i - b(\theta_i) + c(y_i)\right\}, which is called natural exponential family of order 1.
Let us consider the log-likelihood contribution of the ith observations, which is defined as \ell(\theta_i, \phi; y_i) = \log{p(y_i; \theta_i, \phi)} = \frac{\theta_i y_i - b(\theta_i)}{a_i(\phi)} + c(y_i, \phi). If you prefer, this is the log-likelihood when the sample size n = 1 and we only observe Y_i.
The score and hessian functions, namely the first and second derivative over \theta_i are \frac{\partial}{\partial \theta_i} \ell(\theta_i, \phi; y_i) = \frac{y_i - b'(\theta_i)}{a_i(\phi)}, \qquad \frac{\partial^2}{\partial \theta_i^2}\ell(\theta_i, \phi; y_i) = \frac{-b''(\theta_i)}{a_i(\phi)}. where b'(\cdot) and b''(\cdot) denote the first and second derivative of b(\cdot).
Recall the following Bartlett identities, valid in any regular statistical model: \begin{aligned} \mathbb{E}\left(\frac{\partial}{\partial \theta_i} \ell(\theta_i, \phi; Y_i) \right) &= 0, \\ \mathbb{E}\left\{\left(\frac{\partial}{\partial \theta_i} \ell(\theta_i, \phi; Y_i) \right)^2\right\} = \text{var}\left(\frac{\partial}{\partial \theta_i} \ell(\theta_i, \phi; Y_i) \right) &= \mathbb{E}\left(-\frac{\partial^2}{\partial \theta_i^2}\ell(\theta_i, \phi; Y_i)\right). \end{aligned}
Let Y_i be an exponential dispersion family, identified by the functions a_i(\cdot), b(\cdot) and c(\cdot), and with natural parameter \theta_i. Then the mean and the variance of Y_i equal \mathbb{E}(Y_i) = b'(\theta_i), \qquad \text{var}(Y_i) = a_i(\phi) b''(\theta_i).
The mean \mu_i = b'(\theta_i) does not depend on the dispersion parameter.
We have b''(\cdot) > 0 because \text{var}(Y_i), which means that b(\cdot) is a convex function.
Moreover, the function b'(\theta) is continuous and monotone increasing and hence invertible.
Let Y_i be an exponential dispersion family, identified by the functions a_i(\cdot), b(\cdot) and c(\cdot), and with natural parameter \theta_i, then \mu(\theta_i):= \mu_i = \mathbb{E}(Y_i) = b'(\theta_i). The function \mu(\cdot) : \Theta \to\mathcal{M} is one-to-one and invertible, that is, a reparametrization of \theta_i. We call \mu_i the mean parametrization of an exponential dispersion family.
The inverse relationship, re-obtaining \theta_i as a function of \mu_i, is denoted with \theta_i = \theta(\mu_i) = b'^{-1}(\mu_i).
Using this notation, we can express the variance of Y_i as a function of \mu_i as follows \text{var}(Y_i) = a_i(\phi)b''(\theta_i) = a_i(\phi)b''(\theta(\mu_i)) = a_i(\phi)v(\mu_i), where v(\mu_i) := b''(\theta(\mu_i)) is the variance function.
The domain \mathcal{M} and the variance function v(\mu) characterize the function b(\cdot) and the entire distribution, for any given a_i(\phi). This justifies the notation Y_i \sim \text{ED}(\mu_i, a_i(\phi)v(\mu_i)).
Let Y_i \sim \text{N}(\mu_i, \sigma^2). The density function of Y_i can be written as \begin{aligned} p(y_i; \mu_i, \sigma^2) &= \frac{1}{\sqrt{2 \pi \sigma^2}}\exp\left\{-\frac{1}{2\sigma^2}(y_i - \mu_i)^2\right\} \\ &=\exp\left\{\frac{y_i \mu_i - \mu_i^2/2}{\sigma^2}- \frac{\log(2\pi\sigma^2)}{2}-\frac{y_i^2}{2\sigma^2}\right\} \end{aligned}
Then, we can recognize the following relationships: \theta_i = \theta(\mu_i) = \mu_i, \quad a_i(\phi) = \phi = \sigma^2, \quad b(\theta_i) = \frac{\theta_i^2}{2}, \quad c(y_i, \phi) = - \frac{\log(2\pi\phi)}{2}-\frac{y_i^2}{2\phi}. In the Gaussian case, the mean parametrization and the natural parametrization coincide. Moreover, the dispersion \phi coincides with the variance \sigma^2.
Using the results we previously discussed, we obtain the well-known relationships \mathbb{E}(Y_i) = b'(\theta_i) = \theta_i, \qquad \text{var}(Y_i) = a_i(\phi)b''(\theta_i) = \phi. The variance function v(\mu_i) = 1 is constant. We will write Y_i \sim \text{ED}(\mu_i, \phi) with \mu_i \in \mathcal{M} = \mathbb{R}.
Let Y_i \sim \text{Poisson}(\mu_i). The pdf function of Y_i can be written as \begin{aligned} p(y_i; \mu_i) &= \frac{\mu_i^{y_i} e^{-\mu_i}}{y_i!}=\exp\{y_i \log(\mu_i) - \mu_i - \log(y_i!)\} \\ &=\exp\{y_i \theta_i - e^{\theta_i} - \log(y_i!)\}, \qquad y_i = 0, 1, 2,\dots. \end{aligned}
Then, we can recognize the following relationships: \begin{aligned} \theta_i &= \theta(\mu_i) = \log(\mu_i), \quad &&a_i(\phi) = 1, \\ b(\theta_i) &= e^{\theta_i}, \quad &&c(y_i, \phi) = c(y_i) = -\log(y_i!). \end{aligned} There is no dispersion parameter since a_i(\phi) = 1.
Using the results we previously discussed, we obtain the well-known relationships \begin{aligned} \mathbb{E}(Y_i) &= b'(\theta_i) = e^{\theta_i} = \mu_i, \\ \text{var}(Y_i) &= a_i(\phi) b''(\theta_i) = e^{\theta_i} = \mu_i. \end{aligned} The variance function v(\mu_i) = \mu_i is linear. We will write Y_i \sim \text{ED}(\mu_i, \mu_i) with \mu_i \in (0, \infty).
Let Y_i \sim \text{Gamma}(\alpha, \lambda_i). The density function of Y_i can be written as \begin{aligned} p(y_i; \alpha, \lambda_i) &= \frac{\lambda_i^\alpha y_i^{\alpha-1} e^{-\lambda_i y_i}}{\Gamma(\alpha)} \\ &=\exp\left\{\alpha\log{\lambda_i} - \lambda_i y_i + (\alpha-1)\log{y_i} - \log{\Gamma}(\alpha)\right\} \\ &=\exp\left\{\alpha\left(\log{\lambda_i} - \frac{\lambda_i}{\alpha} y_i\right) + (\alpha-1)\log{y_i} - \log{\Gamma}(\alpha)\right\} \\ &=\exp\left\{\frac{\theta_i y_i + \log(-\theta_i)}{\phi} - (1/\phi)\log{\phi}+ (1/\phi - 1)\log{y_i} - \log{\Gamma}(1/\phi)\right\}, \qquad y > 0,\\ \end{aligned} having defined the dispersion \phi = 1/\alpha and the natural parameter \theta_i = -\lambda_i/\alpha.
Then, we can recognize the following relationships: \begin{aligned} \quad a_i(\phi) &= \phi, \qquad b(\theta_i) = - \log(-\theta_i), \\ c(y_i, \phi) &= - (1/\phi)\log{\phi}+ (1/\phi - 1)\log{y_i} - \log{\Gamma}(1/\phi). \end{aligned}
Using the results we previously discussed, we obtain the well-known relationships \mathbb{E}(Y_i) = b'(\theta_i) = - \frac{1}{\theta_i} = \frac{\alpha}{\lambda_i} = \mu_i, \qquad \text{var}(Y_i) = a_i(\phi)b''(\theta_i) = \frac{\phi}{\theta_i^2} = \frac{\alpha}{\lambda_i^2}.
At the same time, we can write the inverse relationship linking \theta_i to the mean as \theta_i = \theta(\mu_i) = - \frac{1}{\mu_i} from which we finally obtain the following quadratic variance function v(\mu_i) = \mu_i^2.
We will write Y_i \sim \text{ED}(\mu_i, \phi\mu_i^2) with \mu_i \in (0, \infty).
Note that \mathbb{E}(Y_i) = \mathbb{E}(Z_i / m_i) = \pi_i = \mu_i. This means there no dispersion parameter \phi and \theta_i = \text{logit}(\mu_i), \quad a_i(\phi) = \frac{1}{m_i}, \quad b(\theta_i) = \log\{1 + \exp(\theta_i)\}, \quad c(y_i) = \log\binom{m_i}{m_i y_i}.
Using the general formulas therefore we obtain \begin{aligned} \mathbb{E}(Y_i) &= b'(\theta_i) = \frac{\exp(\theta_i)}{1 + \exp(\theta_i)} = \mu_i, \\ \text{var}(Y_i) &= a_i(\phi)b''(\theta_i) = \frac{1}{m_i}\frac{\exp(\theta_i)}{[1 + \exp(\theta_i)]^2} = \frac{\mu_i (1 - \mu_i)}{m_i}, \end{aligned} from which we obtain that the variance function is v(\mu_i) = \mu_i(1-\mu_i) is quadratic.
We will write Y_i \sim \text{ED}(\mu_i, \mu_i(1-\mu_i)/m_i) with \mu_i \in \mathcal{M} = (0, 1).
| Model | \text{N}(\mu_i, \sigma^2) | \text{Gamma}(\alpha, \alpha/\mu_i) | \frac{1}{m_i}\text{Binomial}(m_i, \mu_i) | \text{Poisson}(\mu_i) |
|---|---|---|---|---|
| Support \mathcal{Y} | \mathbb{R} | [0, \infty) | \{0, 1/m_i,\dots, 1\} | \mathbb{N} |
| \theta_i = \theta(\mu_i) | \mu_i | - 1/\mu_i | \log\left(\frac{\mu_i}{1 - \mu_i}\right) | \log{\mu_i} |
| Parametric space \Theta | \mathbb{R} | (-\infty, 0) | \mathbb{R} | \mathbb{R} |
| b(\theta_i) | \theta_i^2/2 | -\log(-\theta_i) | \log\{1 + \exp(\theta_i)\} | \exp(\theta_i) |
| \phi | \sigma^2 | 1/\alpha | 1 | 1 |
| a_i(\phi) | \sigma^2 | 1/\alpha | 1/m_i | 1 |
| \mathcal{M} | \mathbb{R} | (0, \infty) | (0, 1) | (0, \infty) |
| v(\mu_i) | 1 | \mu_i^2 | \mu_i(1-\mu_i) | \mu_i |
The list of exponential dispersion families does not end here. Other examples are the inverse Gaussian, the negative binomial and hyperbolic secant distributions.
To complete the GLM specification, we need to choose a link function g(\cdot) such that: g(\mu_i) = \bm{x}_i^T\beta, \qquad \theta_i = \theta(\mu_i) \quad \Longrightarrow \quad \theta_i = \theta(g^{-1}(\bm{x}_i^T\beta)).
It is fairly natural to consider a monotone and differentiable link function g(\cdot) : \mathcal{M} \to \mathbb{R} so that the inverse g^{-1}(\cdot) : \mathbb{R} \to \mathcal{M}. This ensures that the predictions are well-defined. \mathbb{E}(Y_i) = g^{-1}(\bm{x}_i^T\beta) \in \mathcal{M}.
For example, in binary regression any continuous cumulative distribution function for g^{-1}(\cdot) leads to a good link function, such as g(\cdot) = \Phi(\cdot) (probit) or g^{-1}(\eta_i) = e^{\eta_i}/(1 + e^{\eta_i}) (logistic).
The following link is called canonical link and it is implied by the distribution: g(\mu_i) = \theta(\mu_i) \quad \Longrightarrow \quad \theta_i = \bm{x}_i^T\beta.
Let Y_i \overset{\text{ind}}{\sim}\text{ED}(\mu_i, a_i(\phi)v(\mu_i)) be the response variable of a GLM, with g(\mu_i) = \bm{x}_i^T\beta. The joint distribution of the responses \bm{Y} = (Y_1,\dots,Y_n) is p(\bm{y}; \beta, \phi) = \prod_{i=1}^np(y_i; \beta, \phi) = \prod_{i=1}^n \exp\left\{\frac{y_i\theta_i - b(\theta_i)}{a_i(\phi)} + c(y_i, \phi)\right\}. with \theta_i = \theta(\mu_i) = \theta(g^{-1}(\bm{x}_i^T\beta)).
The log-likelihood function therefore is \ell(\beta, \phi) = \sum_{i=1}^n\frac{y_i\theta_i - b(\theta_i)}{a_i(\phi)} + c(y_i, \phi).
To conduct inference using the classical theory (as in Statistica II), we need to consider the first and second derivative of the log-likelihood, that is, the score function \ell_*(\beta;\phi) := \frac{\partial}{\partial \beta}\ell(\beta, \phi), and the observed information matrix \bm{J}, whose elements are j_{rs} = - \frac{\partial}{\partial \beta_r}\frac{\partial}{\partial \beta_s}\ell(\beta, \phi), \qquad r, s=1,\dots,p.
These quantities have a simple expression in the end, but getting there requires quite a bit of calculus.
Let us focus on the estimation of \beta, assuming for now that \phi is a known parameter, as is the case in binomial or Poisson regression.
This assumption is not restrictive, even when \phi is actually unknown. In fact, we will show that the maximum likelihood estimate \hat{\beta} does not depend on \phi, and that \beta and \phi are orthogonal.
Let us begin by noting that \ell_r(\beta;\phi) = \frac{\partial}{\partial \beta_r}\ell(\beta, \phi) = \sum_{i=1}^n\frac{1}{a_i(\phi)} \left(y_i \frac{\partial \theta_i}{\partial \beta_r} - \frac{\partial b(\theta_i)}{\partial \beta_r} \right), \qquad r = 1,\dots,p. Such an expression can be simplified because \frac{\partial b(\theta_i)}{\partial \beta_r} = b'(\theta_i)\frac{\partial \theta_i}{\partial \beta_r} = \mu_i\frac{\partial \theta_i}{\partial \beta_r}, which implies that the score function will have the following structure: \frac{\partial}{\partial \beta_r}\ell(\beta, \phi) = \sum_{i=1}^n\frac{1}{a_i(\phi)}(y_i - \mu_i)\frac{\partial \theta_i}{\partial \beta_r}, \qquad r=1,\dots,p.
Recall that a_i(\phi) = \phi/\omega_i, hence the maximum likelihood estimator is obtained by solving: \textcolor{red}{\cancel{\frac{1}{\phi}}}\sum_{i=1}^n\omega_i(y_i - \mu_i)\frac{\partial \theta_i}{\partial \beta_r} = 0, \qquad r=1,\dots,p.
Let f(x) be a function with inverse g(x) = f^{-1}(x) and first derivative f'(x). Then \frac{\partial g}{\partial{x}} = [f^{-1}]'(x) = \frac{1}{f'(f^{-1}(x))}.
The maximum likelihood estimator solves the likelihood equations: \sum_{i=1}^n \omega_i \frac{(y_i - \mu_i)}{v(\mu_i)}\frac{x_{ir}}{g'(\mu_i)} = 0, \qquad r=1,\dots,p, which do not depend on \phi. In matrix notation \bm{D}^T \bm{V}^{-1}(\bm{y} - \bm{\mu}) = \bm{0}, where \bm{V} = \text{diag}(v(\mu_1)/\omega_1,\dots,v(\mu_n)/\omega_n) and \bm{D} is an n \times p matrix whose elements are d_{ir} = \frac{\partial \mu_i}{\partial \beta_r} =\frac{\partial \mu_i}{\partial \eta_i} \frac{\partial \eta_i}{\partial\beta_r} =\frac{1}{g'(\mu_i)}x_{ir}, \qquad i=1,\dots,n, \quad r=1,\dots,p.
The likelihood equations under the canonical link are \sum_{i=1}^n \omega_i (y_i - \mu_i)x_{ir} = 0, \qquad r=1,\dots,p. Let \bm{\Omega} = \text{diag}(\omega_1,\dots,\omega_n), then in matrix notation we have \bm{X}^T\bm{\Omega}(\bm{y} - \bm{\mu}) = \bm{0}. The equations simplify even further when the weights are constant, i.e. \bm{\Omega} = I_n, yielding \bm{X}^T(\bm{y} - \bm{\mu}) = \bm{0}.
Let Y_i \sim \text{ED}(\mu_i, \phi) with g(\mu_i) = \mu_i, namely the Gaussian linear model with the identity (canonical) link. The likelihood equations are \bm{X}^T(\bm{y} - \bm{X}\beta) = \bm{0}, which are also called normal equations. Their solution over \beta is the OLS \hat{\beta} = (\bm{X}^T\bm{X})^{-1}\bm{X}^T\bm{y}.
Let Y_i \sim \text{ED}(\mu_i, \phi/\omega_i) with g(\mu_i) = \mu_i, namely the Gaussian linear model with the identity (canonical) link and heteroschedastic errors. The likelihood equations are \bm{X}^T\bm{\Omega}(\bm{y} - \bm{X}\beta) = \bm{0}, Their solution over \beta is the weighted least square estimator \hat{\beta}_\text{wls} = (\bm{X}^T\bm{\Omega}\bm{X})^{-1}\bm{X}^T\bm{\Omega}\bm{y}.
Let Y_i \sim \text{ED}(\mu_i, \mu_i) with g(\mu_i) = \log{\mu_i}, namely a Poisson regression model with the logarithmic (canonical) link. The likelihood equations can be solved numerically \bm{X}^T(\bm{y} - \bm{\mu}) = \bm{0}, \qquad \bm{\mu} = (e^{\bm{x}_1^T\beta}, \dots, e^{\bm{x}_n^T\beta}).
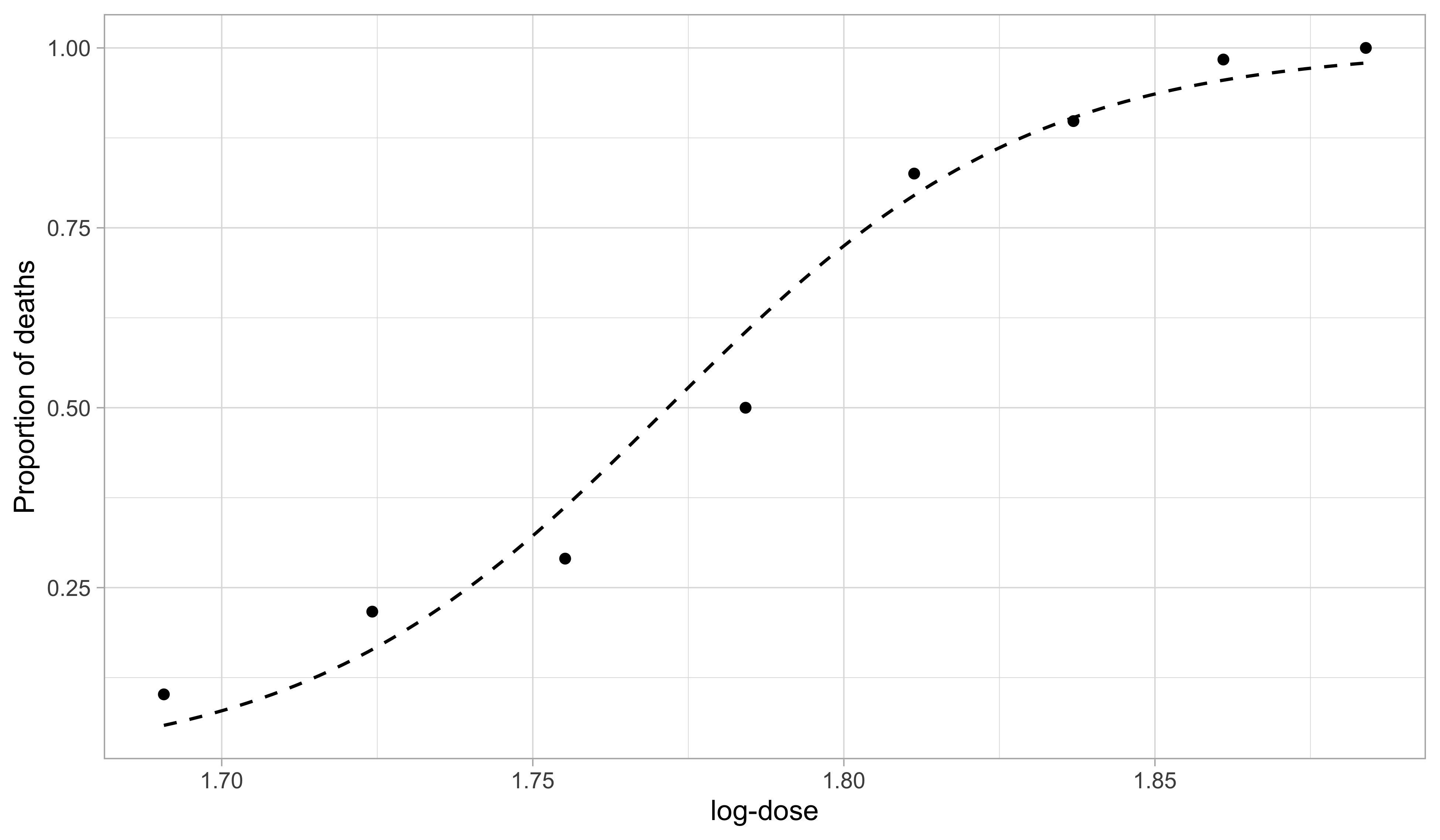
Beetles dataUsing the Beetles data, we specified a binomial logistic regression model for the counts m_i Y_i \sim \text{Binomial}(m_i, \pi_i) with mean \mathbb{E}(Y_i) = \pi_i = \exp(\beta_1 + \beta_2 x_i)/(1 + \exp(\beta_1 + \beta_2 x_i)).
The maximum likelihood estimate (\hat{\beta}_1, \hat{\beta}_2) is the value solving simultaneously: \sum_{i=1}^n m_i y_i = \sum_{i=1}^n m_i \frac{\exp(\beta_1 + \beta_2x_i)}{1 + \exp(\beta_1 + \beta_2x_i)}, \quad \text{and}\quad \sum_{i=1}^n m_i x_i y_i = \sum_{i=1}^n m_i x_i \frac{\exp(\beta_1 + \beta_2x_i)}{1 + \exp(\beta_1 + \beta_2x_i)}. Unfortunately, there is no closed form solution.
In our case, we have that \sum_{i=1}^n m_i y_i = 291, \qquad \sum_{i=1}^n m_i x_i y_i = 532.2083.
With these values, we can use the numerical algorithm IRLS to solve the above system, obtaining \hat{\beta} = (\hat{\beta}_1, \hat{\beta_2}) = (-60.717, 34.270).
Beetles data| m_i | deaths (S_i) |
logdose (x_i) |
Y_i = S_i / m_i | \hat{\mu}_i |
|---|---|---|---|---|
| 59 | 6 | 1.691 | 0.102 | 0.059 |
| 60 | 13 | 1.724 | 0.217 | 0.164 |
| 62 | 18 | 1.755 | 0.290 | 0.362 |
| 56 | 28 | 1.784 | 0.500 | 0.605 |
| 63 | 52 | 1.811 | 0.825 | 0.795 |
| 59 | 53 | 1.837 | 0.898 | 0.903 |
| 62 | 61 | 1.861 | 0.984 | 0.955 |
| 60 | 60 | 1.884 | 1.000 | 0.979 |
Aids dataIn the Aids data, we specified a Poisson regression model with \mathbb{E}(Y_i) = \exp(\beta_1 + \beta_2 x_i).
The maximum likelihood estimate (\hat{\beta}_1, \hat{\beta}_2) solve simultaneously: \sum_{i=1}^n y_i = \sum_{i=1}^n \exp(\beta_1 + \beta_2x_i), \quad \text{and}\quad \sum_{i=1}^n x_i y_i = \sum_{i=1}^n x_i\exp(\beta_1 + \beta_2 x_i).
This system does not always admits a solution. This happens, for example, in the extreme case \sum_{i=1}^ny_i = 0, occurring when all counts equal zero.
Using the Aids data we have \sum_{i=1}^ny_i = 217 and \sum_{i=1}^nx_i y_i = 2387. Via numerical methods we solve the above system of equations and we obtain \hat{\beta}_1 = 0.304 and \hat{\beta}_2 = 0.259.
The estimated mean values are \hat{\mu}_i = \exp(0.304 + 0.259 x_i) and in particular the mean for the next period is \hat{\mu}_{i+1} = \exp(0.304 + 0.259 (x_i +1)) = \exp(0.259) \hat{\mu}_i = 1.296 \hat{\mu}_i. In other words, the estimated number of deaths increases by about 30\% every trimester.
Aids datadeaths (Y_i) |
period (x_i) |
\hat{\mu}_i | |
|---|---|---|---|
| 1983-1 | 0 | 1 | 1.755 |
| 1984-1 | 1 | 2 | 2.274 |
| 1985-1 | 2 | 3 | 2.946 |
| 1986-1 | 3 | 4 | 3.817 |
| 1983-2 | 1 | 5 | 4.945 |
| 1984-2 | 4 | 6 | 6.407 |
| 1985-2 | 8 | 7 | 8.301 |
| 1986-2 | 17 | 8 | 10.755 |
| 1983-3 | 23 | 9 | 13.934 |
| 1984-3 | 32 | 10 | 18.052 |
| 1985-3 | 20 | 11 | 23.389 |
| 1986-3 | 24 | 12 | 30.302 |
| 1983-4 | 37 | 13 | 39.259 |
| 1984-4 | 45 | 14 | 50.863 |
Let us first consider the negative derivative of the score function, that is the observed information matrix \bm{J} with entries: \begin{aligned} j_{rs} &= -\frac{\partial}{\partial \beta_s}\left[\frac{\partial}{\partial \beta_r}\ell(\beta, \phi)\right] = -\frac{\partial}{\partial \beta_s}\sum_{i=1}^n\frac{1}{a_i(\phi)}(y_i - \mu_i)\frac{\partial \theta_i}{\partial \beta_r} \\ &=\sum_{i=1}^n\frac{1}{a_i(\phi)}\left[\frac{\partial\mu_i}{\partial \beta_s}\frac{\partial\theta_i}{\partial \beta_r} - (y_i - \mu_i) \frac{\partial^2\theta_i}{\partial \beta_r \partial \beta_s}\right], \qquad r,s = 1,\dots,p. \end{aligned}
Let \bm{I} = \mathbb{E}(\bm{J}) be the p \times p Fisher information matrix associated with \beta, whose elements are i_{rs} = \mathbb{E}(j_{rs}) = \mathbb{E}\left(- \frac{\partial}{\partial \beta_r}\frac{\partial}{\partial \beta_s}\ell(\beta, \phi)\right), \qquad r,s = 1,\dots,p.
Thus, the Fisher information matrix substantially simplifies because \mathbb{E}(Y_i) = \mu_i, obtaining: i_{rs} = \sum_{i=1}^n\frac{1}{a_i(\phi)}\frac{\partial\mu_i}{\partial \beta_s}\frac{\partial\theta_i}{\partial \beta_r}, \qquad r,s = 1,\dots,p.
Combining the above equations, we obtain that the Fisher information \bm{I} of a GLM has entries i_{rs} = \frac{1}{\phi}\sum_{i=1}^n \omega_i \frac{x_{ir} x_{is}}{v(\mu_i)g'(\mu_i)^2} = \sum_{i=1}^n \frac{x_{ir}x_{is}}{\text{var}(Y_i) g'(\mu_i)^2}, \qquad r,s = 1,\dots,p. In matrix notation, we have that \bm{I} = \bm{X}^T\bm{W}\bm{X}, where \bm{W} = \text{diag}(w_1,\dots,w_n) and w_i are weights such that w_i = \frac{1}{\phi}\frac{\omega_i}{v(\mu_i) g'(\mu_i)^2} = \frac{1}{\text{var}(Y_i) g'(\mu_i)^2}, \qquad i=1,\dots,n.
Under the canonical link we have that \theta_i = x_{i1}\beta_1 + \cdots +\beta_p x_{ip}, which means that \frac{\partial^2\theta_i}{\partial \beta_r \partial \beta_s} = 0 \qquad \Longrightarrow \qquad i_{rs} = j_{rs} = \sum_{i=1}^n\frac{1}{a_i(\phi)}\frac{\partial\mu_i}{\partial \beta_s}\frac{\partial\theta_i}{\partial \beta_r}. The observed information \bm{J} is non-stochastic, which means that observed information and expected (Fisher) information coincide, that is i_{rs} = j_{rs} and \bm{I} = \bm{J}.
Under the canonical link, we also have the simplifications 1/v(\mu_i) = g'(\mu_i), yielding i_{rs} = \frac{1}{\phi}\sum_{i=1}^n \omega_i v(\mu_i)x_{ir} x_{is}, \qquad r,s = 1,\dots,p. In matrix notation, we have that \bm{I} = \bm{X}^T\bm{W}\bm{X} with weights w_i = \frac{1}{\phi} \omega_iv(\mu_i) = \frac{v(\mu_i)}{a_i(\phi)}, \qquad i=1,\dots,n.
Under the canonical link, we have \bm{J} = \bm{I}, and both matrices are positive definite if \text{rk}(\bm{X}) = p.
This implies that the log-likelihood function is concave because its second derivative is negative definite, so any solution to the estimating equations is also a global optimum.
The parameters \beta and \phi are orthogonal and their estimates are asymptotically independent.
Moreover, the matrices \bm{I} and \bm{I}^{-1} are sufficient for inference on \beta and there is no need to compute i_{\phi \phi}. Moreover, the maximum likelihood \hat{\beta} can also be computed without knowing \phi.
In general, the estimating equations of a GLM \bm{D}^T \bm{V}^{-1}(\bm{y} - \bm{\mu}) = \bm{0} cannot be solved in closed form and we need to rely on numerical methods.
An iterative method means that we start the algorithm with a candidate value \beta^{(1)} (initialization). Then, at the step t we update \beta^{(t+1)} = \texttt{update}(\beta^{(t)}), \qquad t=1,2,\dots
The algorithm stops whenever a certain criteria is met, e.g. when ||\beta^{(t+1)} - \beta^{(t)}|| < \epsilon, where \epsilon is sometimes called tolerance. We say it reached convergence.
The iteratively re-weighted least squares (IRLS) algorithm became very popular after being proposed by Nelder and Wedderburn (1972) and is currently implemented in R.
The IRLS algorithm can be used for any GLM, has a clear geometric interpretation, and often delivers good performance. It can be seen as a variant of Newton-Raphson.
In the Newton-Raphson algorithm, we consider a second-order Taylor expansion of the log-likelihood \ell(\beta) = \ell(\beta,\phi) centered in \beta^{(t)}, namely: \ell(\beta) \approx \ell(\beta^{(t)}) + \ell_*(\beta^{(t)})^T(\beta - \beta^{(t)}) - \frac{1}{2}(\beta - \beta^{(t)})^T\bm{J}^{(t)}(\beta - \beta^{(t)}) where \ell_*(\beta^{(t)}) is the score function and \bm{J}^{(t)} is the observed information, evaluated at \beta^{(t)}.
In other words, we approximate the log-likelihood \ell(\beta) with a parabola. This gives the approximate likelihood equations: \ell_*(\beta^{(t)}) - \bm{J}^{(t)}(\beta - \beta^{(t)}) = \bm{0}.
Solving the equation above gives the following updates: \beta^{(t+1)} = \hat{\beta}^{(t)} + (\bm{J}^{(t)})^{-1}\ell_*(\beta^{(t)}), \qquad t=1,2,\dots
The Netwon-Raphson method essentially considers a series of parabolic approximations to the log-likelihood, each time evaluating the point of maximum.
In the iteratively re-weighted least squares (IRLS) algorithm, we consider the updates: \beta^{(t+1)} = \beta^{(t)} + (\bm{I}^{(t)})^{-1}\ell_*(\beta^{(t)}), \qquad t=1,2,\dots This method is also called Fisher scoring.
In the iteratively re-weighted least squares (IRLS) algorithm, we consider the updates: \beta^{(t+1)} = (\bm{X}^T\bm{W}^{(t)}\bm{X})^{-1}\bm{X}^T\bm{W}^{(t)}\bm{z}^{(t)}, \qquad t=1,2,\dots, where \bm{z}^{(t)} = (z_1^{(t)}, \dots, z_n^{(t)}) is called pseudo-response whose elements are defined as z_i^{(t)} = \bm{x}_i^T\hat{\beta}^{(t)} + u_i^{(t)} = \bm{x}_i^T\hat{\beta}^{(t)} + (y_i - \mu_i^{(t)})g'(\mu_i^{(t)}),\qquad i=1,\dots,n. Hence, each update can be interpreted as the solution of a weighted least square problem: \beta^{(t+1)} = \arg\min_{\beta \in \mathbb{R}^p} \: (\bm{z}^{(t)} - \bm{X}\beta)^T\bm{W}^{(t)}(\bm{z}^{(t)} - \bm{X}\beta).
The pseudo-responses have a nice interpretation, because they can be interpreted as a linear approximation of the transformed responses: g(y_i) \approx g(\mu_i) + (y_i - \mu_i)g'(\mu_i) = \eta_i + (y_i - \mu_i)g'(\mu_i) = z_i.
Based on this approximation, a good initialization is \bm{W}^{(1)} = I_n, \qquad z_i^{(1)} = g(y_i), \qquad \Longrightarrow \qquad \beta^{(2)} = (\bm{X}^T\bm{X})^{-1}\bm{X}^Tg(\bm{y}), the least square solution for the transformed data. To avoid boundary issues, sometimes the data are perturbed, as we did in Binomial regression.
IRLS algorithm for logistic regression
Initialize \bm{\beta}^{(1)} = (\bm{X}^T\bm{X})^{-1}\bm{X}^T\text{logit}(\tilde{\bm{y}}) where \text{logit}(\tilde{\bm{y}}) is the empirical logit transform.
For t=1,2, \dots until convergence compute: \beta^{(t+1)} = (\bm{X}^T\bm{W}^{(t)}\bm{X})^{-1}\bm{X}^T\bm{W}^{(t)}\bm{z}^{(t)}, where the weights in \bm{W}^{(t)} equals w_i^{(t)} = m_i \pi_i^{(t)} (1 - \pi_i^{(t)}) and the pseudo-responses \bm{z}^{(t)} are z_i^{(t)} = \bm{x}_i^T\beta^{(t)} + \frac{y_i - \pi_i^{(t)}}{ \pi_i^{(t)}(1-\pi_i^{(t)})}, \qquad i=1,\dots,n, with probabilities \pi_i^{(t)} = \exp(\bm{x}_i^T\beta^{(t)})/(1 + \exp(\bm{x}_i^T\beta^{(t)})) for i=1,\dots,n.
In some GLMs, such as the Gaussian and the Gamma, there is a dispersion parameter \phi that we need to estimate.
Instead of the maximum likelihood, because of numerical instabilities and lack of robustness it is typically preferred a method of moments estimator. If \mu_i were known, the estimator \frac{1}{n}\sum_{i=1}^n\omega_i\frac{(y_i - \mu_i)^2}{v(\mu_i)} would be unbiased for \phi, because \mathbb{E}\{(Y_i - \mu_i)^2\} = (\phi/\omega_i) v(\mu_i). This motivates the estimator \hat{\phi} = \frac{1}{n - p}\sum_{i=1}^n \omega_i\frac{(y_i - \hat{\mu}_i)^2}{v(\hat{\mu}_i)}, \qquad \hat{\mu}_i = g^{-1}(\bm{x}_i^T\hat{\beta}).
This is a consistent estimator of \phi as long as \hat{\beta} is consistent.
The asymptotic distribution of the maximum likelihood estimator is \hat{\beta} \, \dot{\sim} \, \text{N}_p\left(\beta, (\bm{X}^T\bm{W}\bm{X})^{-1}\right), for large values of n and under mild regularity conditions on \bm{X}.
Under correct specification and mild conditions on \bm{X}, the maximum likelihood estimator is asymptotically unbiased and with known asymptotic variance \mathbb{E}(\hat{\beta} - \beta) \approx 0, \qquad \text{var}(\hat{\beta}) \approx (\bm{X}^T\bm{W}\bm{X})^{-1}.
In practice, since \bm{W} depends on \beta and \phi, we rely on the following approximation \widehat{\text{var}}(\hat{\beta}) = (\bm{X}^T\hat{\bm{W}}\bm{X})^{-1}, where we plugged in the estimates \hat{\beta} and \hat{\phi} into \bm{W} obtaining \hat{\bm{W}}. The standard errors are: \texttt{Std. Error} = [\widehat{\text{se}}(\hat{\beta})]_j = \sqrt{[(\bm{X}^T\hat{\bm{W}}\bm{X})^{-1}]_{jj}}
Beetles dataUsing the Beetles data, we specified a binomial logistic regression model for the counts m_i Y_i \sim \text{Binomial}(m_i, \pi_i) with mean \mu_i = \exp(\beta_1 + \beta_2 x_i)/(1 + \exp(\beta_1 + \beta_2 x_i)).
We previously estimated \hat{\beta} = (-60.717, 34.270). This means that the weights are estimated as \hat{\bm{W}} =\text{diag}(m_1\hat{\mu}_1(1 - \hat{\mu}_1),\dots,m_n \hat{\mu}_n(1 - \hat{\mu}_n)) = \text{diag}(3.255, 8.227, \dots, 1.231). from which we obtain the estimated Fisher information matrix: \bm{X}^T\hat{\bm{W}}\bm{X} = \begin{pmatrix} \sum_{i=1}^nm_i\hat{\mu}_i(1 - \hat{\mu}_i) & \sum_{i=1}^n x_im_i\hat{\mu}_i(1 - \hat{\mu}_i)\\ \sum_{i=1}^n x_im_i\hat{\mu}_i(1 - \hat{\mu}_i) & \sum_{i=1}^n x_i^2m_i\hat{\mu}_i(1 - \hat{\mu}_i) \end{pmatrix} = \begin{pmatrix} 58.484 & 104.011\\ 104.011 & 185.095 \end{pmatrix}.
Hence, the estimated covariance matrix of the maximum likelihood estimator is \widehat{\text{var}}(\hat{\beta}) = (\bm{X}^T\hat{\bm{W}}\bm{X})^{-1} = \begin{pmatrix} 26.840 & -15.082 \\ -15.082 & 8.481 \end{pmatrix}.
Therefore the estimated standard errors are [\widehat{\text{se}}(\hat{\beta})]_j = \sqrt{[(\bm{X}^T\hat{\bm{W}}\bm{X})^{-1}]_{jj}} \quad\Longrightarrow \quad \widehat{\text{se}}(\hat{\beta}) = (5.181, 2.912).
Aids dataIn the Aids data, we specified a Poisson regression model with \mathbb{E}(Y_i) = \exp(\beta_1 + \beta_2 x_i) and estimated \hat{\beta} = (0.304, 0.259).
This means that the weights are estimated as \hat{\bm{W}} = \text{diag}(\hat{\mu}_1,\dots,\hat{\mu}_n) = \text{diag}(1.755, \dots, 50.863). from which we obtain the estimated Fisher information matrix: \bm{X}^T\hat{\bm{W}}\bm{X} = \begin{pmatrix} \sum_{i=1}^n\hat{\mu}_i & \sum_{i=1}^n x_i\hat{\mu}_i\\ \sum_{i=1}^n x_i\hat{\mu}_i & \sum_{i=1}^n x_i^2\hat{\mu}_i \end{pmatrix} = \begin{pmatrix} 217 & 2387\\ 2387 & 28279.05 \end{pmatrix}.
Hence, the estimated covariance matrix of the maximum likelihood estimator is \widehat{\text{var}}(\hat{\beta}) = (\bm{X}^T\hat{\bm{W}}\bm{X})^{-1} = \begin{pmatrix} 0.06445 & -0.00544 \\ -0.00544 & 0.00049 \end{pmatrix}.
Therefore the estimated standard errors are [\widehat{\text{se}}(\hat{\beta})]_j = \sqrt{[(\bm{X}^T\hat{\bm{W}}\bm{X})^{-1}]_{jj}} \quad\Longrightarrow \quad \widehat{\text{se}}(\hat{\beta}) = (0.254, 0.022).
Consider the hypothesis H_0: \beta_j = \beta_0 against the alternative H_1: \beta_j \neq \beta_0. The Wald test statistic z_j, rejecting the hypothesis for large values of |z_j| is: \texttt{z value} = z_j = \frac{\hat{\beta}_j - \beta_0}{[\widehat{\text{se}}(\hat{\beta})]_j} = \frac{\hat{\beta}_j - \beta_0}{\sqrt{[(\bm{X}^T\hat{\bm{W}}\bm{X})^{-1}]_{jj}}} \, \dot{\sim}\,\text{N}(0, 1). which is approximately distributed as a standard normal under H_0.
The p-value is defined in the usual way, namely \alpha_\text{obs} = \mathbb{P}(Z \ge |z_j|) = 2 (1 - \Phi(|z_j|)), \qquad Z \sim \text{N}(0, 1).
In a classical Gaussian linear model the weight matrix is \bm{W} = \sigma^2 I_n, therefore \hat{\beta} \sim \text{N}_p\left(\beta, \sigma^2(\bm{X}^T\bm{X})^{-1}\right).
The Wald statistic z_j specializes to
z_j = \frac{\hat{\beta}_j - \beta_0}{[\widehat{\text{se}}(\hat{\beta})]_j} = \frac{\hat{\beta}_j - \beta_0}{s \sqrt{[(\bm{X}^T\bm{X})^{-1}]_{jj}}},
which is the usual test statistic considered, e.g., in the output of lm in R.
However, in the Gaussian case there is no need of approximations. The distribution of z_j is a Student’ t_{n-p} under H_0, which indeed converges to a \text{N}(0, 1) for large values of n.
In GLMs we use procedures that are approximate rather than exact. Of course, whenever an exact result is known, we should use it.
Beetles dataBeetles data we get the following familiar summary:
z test of coefficients:
Estimate Std. Error z value Pr(>|z|)
(Intercept) -60.7175 5.1807 -11.720 < 2.2e-16 ***
logdose 34.2703 2.9121 11.768 < 2.2e-16 ***
---
Signif. codes: 0 '***' 0.001 '**' 0.01 '*' 0.05 '.' 0.1 ' ' 1
Many of the above quantities (estimates and standard errors) have been obtained before.
In this case, we reject the null hypothesis that \beta_2 = 0. Indeed, even from the scatterplot there was evidence of a relationship between the deaths proportion and the logdose.
2.5 % 97.5 %
(Intercept) -70.87144 -50.56347
logdose 28.56265 39.97800
Aids dataAids data are provided below.
z test of coefficients:
Estimate Std. Error z value Pr(>|z|)
(Intercept) 0.303655 0.253867 1.1961 0.2317
period 0.258963 0.022238 11.6448 <2e-16 ***
---
Signif. codes: 0 '***' 0.001 '**' 0.01 '*' 0.05 '.' 0.1 ' ' 1
deaths was clearly increasing over time. 2.5 % 97.5 %
(Intercept) -0.1939158 0.8012249
period 0.2153764 0.3025494
A common case is H_0: \beta_B = 0 (nested models), where we compare the reduced model M_0 against the full model M_1. We verify if all the q variables associated with \beta_B can be omitted.
The case q = 1, that is \beta_B = \beta_p with H_0: \beta_p = 0 corresponds to the previously considered situation where we test if a specific coefficient, say \beta_p, is non-zero.
There are three classical tests that we could consider for such a testing problem: the Wald test W_e, the Rao-score test W_u, and the log-likelihood ratio test W.
All these tests reject the null hypothesis for large values of the statistic.
Wald test (general case)
Let \hat{\beta} = (\hat{\beta}_A, \hat{\beta}_B) be the unrestricted maximum likelihood, the quantity W_e = (\hat{\beta}_B - \beta_0)^T \:\widehat{\text{var}}(\hat{\beta}_B)^{-1} \:(\hat{\beta}_B - \beta_0), is called Wald test. Here \widehat{\text{var}}(\hat{\beta}_B) is the appropriate block of (\bm{X}^T\hat{\bm{W}}\bm{X})^{-1} and \hat{\bm{W}} is estimated using \hat{\beta} and \hat{\phi}. Under H_0 this quantity is approximately distributed as W_e \: \dot{\sim} \; \chi^2_q, a \chi^2 distribution with q degrees of freedom. The p-value is \texttt{Pr(>Chi)} = \mathbb{P}(W_e > w_\text{e, obs}).
Log-likelihood ratio test (LRT)
Let \hat{\beta} = (\hat{\beta}_A, \hat{\beta}_B) be the unrestricted maximum likelihood and let \hat{\beta}_0 = (\hat{\beta}_{A,0}, \textcolor{red}{\beta_0}) the restricted maximum likelihood estimate. The quantity W = 2 [\ell(\hat{\beta}; \hat{\phi}) - \ell(\hat{\beta}_0; \hat{\phi})], is called log-likelihood ratio test (LRT). Under H_0 this quantity is approximately distributed as W \: \dot{\sim} \; \chi^2_q, a \chi^2 distribution with q degrees of freedom. The p-value is \texttt{Pr(>Chi)} =\mathbb{P}(W > w_\text{obs}).
When testing H_0 : \beta_B = 0, we separately fit the full model, obtaining \hat{\beta}, and the reduced model, obtaining \hat{\beta}_0 = (\hat{\beta}_{A,0}, 0). Then, we compare their log-likelihoods: \ell(\hat{\beta}; \hat{\phi}) - \ell(\hat{\beta}_0; \hat{\phi}).
The LRT is the default in R for comparing nested models.
Rao-score test
Let \hat{\beta} = (\hat{\beta}_A, \hat{\beta}_B) be the unrestricted maximum likelihood and let \hat{\beta}_0 = (\hat{\beta}_{A,0}, \textcolor{red}{\beta_0}) the restricted maximum likelihood estimate. Moreover, let \ell_B(\beta;\phi) = \frac{\partial}{\partial \beta_B}\ell(\beta, \phi), namely the block of the score function associated with \beta_B. The quantity W_u = \ell_B(\hat{\beta}_0; \hat{\phi})^T\: \widetilde{\text{var}}(\hat{\beta}_B) \: \ell_B(\hat{\beta}_0; \hat{\phi}), is called Rao-score test. Here \widetilde{\text{var}}(\hat{\beta}_B) is the appropriate block of (\bm{X}^T\tilde{\bm{W}}\bm{X})^{-1} where \tilde{\bm{W}} is estimated using the restricted \hat{\beta}_0. Under H_0 this quantity is approximately distributed as W_u \: \dot{\sim} \; \chi^2_q, a \chi^2 distribution with q degrees of freedom. The p-value is \texttt{Pr(>Chi)} =\mathbb{P}(W_u > w_\text{u, obs}).
The Wald test, the Score test and the log-likelihood ratio test are asymptotically equivalent, that is, these tests give the same number for large values of n. We have that W_e = W + o_p(1), \qquad W_u = W + o_p(1), where o_p(1) is a quantity that goes to 0 in probability as n \to \infty.
The Wald test depends on the parametrization. When considering a transformation of \beta, the variance must be adjusted using the derivative of the transformation (delta method).1
On the other hand, both the LRT and the score are invariant, and therefore we can simply transform the extremes of the original interval without further corrections.
In the Gaussian linear model all tests are equivalent if \phi = \sigma^2 is known. We have W = W_e = W_u = \frac{||\bm{Y} - \bm{X}\hat{\beta}_0||^2 - ||\bm{Y} - \bm{X}\hat{\beta}||^2}{\sigma^2} \sim \chi^2_q. The \chi^2_q distribution is exact and not an approximation thanks to Cochran theorem.
Beetles datalogdose in predicting the response.| Test for the hypothesis H_0 : \beta_2 = 0 | \texttt{Chi} | \texttt{Df} | \texttt{Pr(>Chi)} |
|---|---|---|---|
| W_e - Wald test | 138.488 | 1 | \approx 0 |
| W_u - Rao-score test | 227.580 | 1 | \approx 0 |
| W - Log-likelihood ratio test | 272.970 | 1 | \approx 0 |
As one may expect, the test values are not identical. Here the sample size is n = 8, which is definitely not a big number, therefore we are far from the asymptotic regime.
However, the practical conclusions are identical. All tests strongly reject the null hypothesis.
Beetles dataFor the Wald test, the inversion is done analytically, producing the “usual” confidence interval.
For the Rao-score and the log-likelihood ratio we need numerical procedures.
In the Beetles data, the three tests produce the following confidence intervals for \beta_2, associated to logdose.
| Confidence intervals for \beta_2 at a 95\% level | 2.5% | 97.5% |
|---|---|---|
| W_e - Wald test | 28.563 | 39.978 |
| W_u - Rao-score test | 28.588 | 39.957 |
| W - Log-likelihood ratio test | 28.854 | 40.301 |
Wald interval was also computed before. The three tests produce nearly identical intervals.
Wald is always symmetric around \hat{\beta}_j, whereas Rao and the log-likelihood ratio are typically asymmetric, depending on the shape of the likelihood function.
Aids dataAids data. Again, we test the null hypothesis H_0 : \beta_2 = 0, which is the relevance of period in predicting the response.| Test for the hypothesis H_0 : \beta_2 = 0 | \texttt{Chi} | \texttt{Df} | \texttt{Pr(>Chi)} |
|---|---|---|---|
| W_e - Wald test | 135.602 | 1 | \approx 0 |
| W_u - Rao-score test | 163.586 | 1 | \approx 0 |
| W - Log-likelihood ratio test | 178.551 | 1 | \approx 0 |
| Confidence intervals for \beta_2 at a 95\% level | 2.5% | 97.5% |
|---|---|---|
| W_e - Wald test | 0.2154 | 0.3025 |
| W_u - Rao-score test | 0.2155 | 0.3025 |
| W - Log-likelihood ratio test | 0.2165 | 0.3037 |
Aids dataWe are actually interested in a confidence interval for the quantity 100\times(\exp(\beta_2) - 1), which is the percentage increase of deaths after each period.
Thanks to invariance property of the Rao-score and the log-likelihood ratio tests, we can simply transform the original intervals for \beta_2.
If the extremes of the log-likelihood ratio interval are C_\text{low}, C_\text{high}, then the new interval is [100\times(\exp(C_\text{low}) - 1), \:100\times(\exp(C_\text{high}) - 1)]. and similarly for the Rao-score case. These are reported below.
| Confidence intervals for 100[\exp(\beta_2)-1] at a 95\% level | 2.5% | 97.5% |
|---|---|---|
| W_u - Rao-score test | 24.04 | 35.32 |
| W - Log-likelihood ratio test | 24.17 | 35.49 |
The average percentage increase is between 24\% and 35\% each period, with a 95\% confidence.
These confidence intervals are always positive, which is desirable because they are percentages.
Aids dataIn the Wald case, we cannot simply transform the extremes of the intervals. Indeed, that would lead to a valid confidence interval that is not anymore of Wald type (Lo sbagliato 🥃).
Instead, we first need to adjust the variance according to the delta method, obtaining \widehat{\text{var}}\{100[\exp(\hat{\beta}_2)-1]\} = 100^2\exp(2 \hat{\beta}_2) \text{var}(\hat{\beta}_2) = 8.301184.
The Wald confidence interval for 100[\exp(\hat{\beta}_2)-1] therefore is 100[\exp(\hat{\beta}_2)-1] \pm z_{1-\alpha/2}\widehat{\text{se}}\{100[\exp(\hat{\beta}_2)-1]\}.
| Confidence intervals for 100[\exp(\beta_2)-1] at a 95\% level | 2.5% | 97.5% |
|---|---|---|
| W_e - Wald test | 23.91 | 35.21 |
| “Lo sbagliato” - transformed Wald | 24.03 | 35.33 |
Whenever there are restrictions on the parametric space, as in this case, Wald is typically problematic. Here, it could lead to negative values, which is absurd.
In a Gaussian linear model, we called deviance the residual sum of squares, that is D(\bm{y}; \hat{\bm{\mu}}) = \sum_{i=1}^n(y_i - \bm{x}_i^T\hat{\beta})^2 = \sum_{i=1}^n(y_i - \hat{\mu}_i)^2.
The residual sum of squares D(\bm{y}; \hat{\bm{\mu}}) is a goodness of fit measure. The lower the deviance, the higher the quality of the predictions.
When \sigma^2 is known, the distribution of the scaled deviance is \frac{D(\bm{Y}; \hat{\bm{\mu}})}{\sigma^2} = \frac{1}{\sigma^2}\sum_{i=1}^n(Y_i - \bm{x}_i^T\hat{\beta})^2 \sim \chi^2_{n - p}.
When \sigma^2 is known, the difference of scaled deviances of two nested models is: W = \frac{D(\bm{Y}; \hat{\bm{\mu}}_0) - D(\bm{Y}; \hat{\bm{\mu}})}{\sigma^2} = \frac{||\bm{Y} - \bm{X}\hat{\beta}_0||^2 - ||\bm{Y} - \bm{X}\hat{\beta}||^2}{\sigma^2} \sim \chi^2_q.
The natural question is: what is a natural generalization of the deviance for GLMs?
Beetles data, saturated modelBeetles data and the predictions \hat{\mu}_i, based on p = 2 parameters. These predictions are not perfect but that may be due to chance.| m_i | deaths (S_i) |
logdose (x_i) |
Y_i = S_i / m_i | \hat{\mu}_i |
|---|---|---|---|---|
| 59 | 6 | 1.691 | 0.102 | 0.059 |
| 60 | 13 | 1.724 | 0.217 | 0.164 |
| 62 | 18 | 1.755 | 0.290 | 0.362 |
| 56 | 28 | 1.784 | 0.500 | 0.605 |
| 63 | 52 | 1.811 | 0.825 | 0.795 |
| 59 | 53 | 1.837 | 0.898 | 0.903 |
| 62 | 61 | 1.861 | 0.984 | 0.955 |
| 60 | 60 | 1.884 | 1.000 | 0.979 |
Let us express the log-likelihood of a GLM as a function of the mean \bm{\mu} = (\mu_1,\dots,\mu_n).
When evaluated in the maximum likelihood, this gives: \ell_\mathcal{M}(\hat{\bm{\mu}},\phi) = \sum_{i=1}^n\omega_i\frac{y_i\theta(\hat{\mu}_i) - b(\theta(\hat{\mu}_i))}{\phi} + c(y_i, \phi). The maximum likelihood for each \mu_i is restricted, in the sense that depends on the p parameters of the linear predictor \bm{x}_i^T\beta through the link function g(\mu_i) = \bm{x}_i^T\beta.
In the saturated model the means \mu_i are unrestricted: each parameter is estimated separately, giving the maximum likelihood estimate \hat{\mu}_{i, \text{sat}} = y_i. This happens whenever p = n.
When evaluated in the maximum, the log-likelihood of the saturated model is \ell_\mathcal{M}(\bm{y},\phi) = \sum_{i=1}^n\omega_i\frac{y_i\theta(y_i) - b(\theta(y_i))}{\phi} + c(y_i, \phi).
The saturated model is the most complex model we can think of.
The deviance of a GLM is defined as \begin{aligned} D(\bm{y}; \hat{\bm{\mu}}) &:=\phi W =\phi \: 2[\ell_\mathcal{M}(\bm{y},\phi) - \ell_\mathcal{M}(\hat{\bm{\mu}},\phi)] \\ &=2\sum_{i=1}^n\omega_i\left\{y_i [\theta(y_i) - \theta(\hat{\mu}_i)] - [b(\theta(y_i)) - b(\theta(\hat{\mu}_i))]\right\}. \end{aligned} The quantity D(\bm{y}; \hat{\bm{\mu}})/\phi is called scaled deviance and it corresponds to a log-likelihood ratio test W in which the current model is tested against the saturated model.
By definition, the deviance is positive: D(\bm{y}; \hat{\bm{\mu}}) \ge 0, because \ell_\mathcal{M}(\bm{y},\phi) \ge \ell_\mathcal{M}(\hat{\bm{\mu}},\phi).
The deviance of the saturated model is D(\bm{y}; \bm{y}) = 0.
The deviance describes a lack of fit: the higher the deviance, the poorer the fit.
It measures the discrepancy between the saturated model and a model using p < n parameters.
Let us consider two nested models M_0 \subset M_1. The reduced model M_0 has p_0 parameters and predictions \hat{\bm{\mu}}_0. The full model M_1 has p parameters \hat{\bm{\mu}}_1.
The log-likelihood ratio test W for testing model M_0 against model M_11 can be written as W = 2 [\ell_\mathcal{M}(\hat{\bm{\mu}}, \hat{\phi}) - \ell_\mathcal{M}(\hat{\bm{\mu}}_0, \hat{\phi})] = \frac{D(\bm{Y}; \hat{\bm{\mu}}_0) - D(\bm{Y}; \hat{\bm{\mu}})}{\hat{\phi}} \: \dot{\sim} \: \chi^2_q. where q = p - p_0 are the degrees of freedom.
The log-likelihood ratio can be interpreted as a difference of scaled deviances. This explains why it is popular in GLMs for comparing nested models.
This is also strong parallelism with the Gaussian linear model.
Let us consider a model M_\text{null} with no covariates and one parameter (p =1), i.e. the intercept. The predicted values are all equals to \hat{\bm{\mu}}_\text{null} = (g^{-1}(\hat{\beta}_1), \dots, g^{-1}(\hat{\beta}_1)). We call M_\text{null} the null model and D(\bm{y}; \hat{\bm{\mu}}_\text{null}) the null deviance.
The null model is the “opposite” of the saturated model. It is the simplest among all models and the one having the highest deviance.
Indeed, the following inequalities hold: 0 = D(\bm{y}; \bm{y}) \le D(\bm{y}; \hat{\bm{\mu}}) \le D(\bm{y}; \hat{\bm{\mu}}_\text{null}).
It is sometimes useful to test the current model against the null model: W = \frac{D(\bm{Y}; \hat{\bm{\mu}}_\text{null}) - D(\bm{Y}; \hat{\bm{\mu}})}{\hat{\phi}} \: \dot{\sim} \: \chi^2_{p-1}. If the H_0 is not rejected, it means all the covariates are regarded as irrelevant.
The deviance is a log-likelihood ratio test between a given model and the saturated model, rescaled by \phi.
Hence, we may consider another test, like the Rao-Score, to obtain an alternative definition.
Let W_u be the Rao-Score test comparing model M with the saturated model. Then, it holds: \phi W_u = X^2=\sum_{i=1}^n \omega_i\frac{(y_i - \hat{\mu}_i)^2}{v(\hat{\mu}_i)}, which is known as generalized Pearson chi-squared statistic.
Karl Pearson introduced X^2 in 1900 for testing various hypotheses using the chi-squared distribution, such as the hypothesis of independence in contingency tables.
Since W_u and W are asymptotically equivalent, so will be the chi-squared statistic X^2 and the deviance D(\bm{Y}; \hat{\bm{\mu}}) for large values of n.
Let us consider a Poisson regression model, that is \theta_i = \log{\mu_i} and b(\theta_i) = \exp(\theta_i) = \mu_i. Then \theta(y_i) = \log{y_i} and \begin{aligned} D(\bm{y}; \hat{\bm{\mu}}) &=2\sum_{i=1}^n\{y_i(\log{y_i} - \log{\hat{\mu}_i}) - y_i + \hat{\mu}_i\}\\ &= 2\sum_{i=1}^n\{y_i\log(y_i/\hat{\mu}_i) - y_i + \hat{\mu}_i\}, \end{aligned} with the convention that y_i\log(y_i/\hat{\mu}_i) = 0 whenever y_i = 0.
The X^2 statistic in this case has a very simple form X^2 = \sum_{i=1}^n \frac{(y_i - \hat{\mu}_i)^2}{\hat{\mu}_i} = \sum_{i=1}^n\frac{(\textsf{observed}_i - \textsf{fitted}_i)^2}{\textsf{fitted}_i}. As discussed in Salvan et al. (2020), Example 2.12, this can be seen as a quadratic approximation of the deviance, which is valid for large values of n.
Let us consider a Binomial regression model m_i Y_i = S_i \sim \text{Bimonial}(m_i, \pi_i) with \mu_i = \pi_i. Then \ell_\mathcal{M}(\bm{\hat{\mu}}) = \sum_{i=1}^n\{m_i y_i \log{(\hat{\mu}_i)} + m_i(1 - y_i)\log{(1-\hat{\mu}_i)}\}. Therefore, under the convention x\log(x) = 0 as before, the deviance is \begin{aligned} D(\bm{y}; \hat{\bm{\mu}}) &=2\sum_{i=1}^nm_i\left\{y_i\log\left(\frac{y_i}{\hat{\mu}_i}\right) + (1- y_i)\log\left(\frac{1 - y_i}{1 - \hat{\mu}_i}\right)\right\}\\ &= 2\sum_{i=1}^n\left\{m_i y_i\log\left(\frac{m_i y_i}{m_i \hat{\mu}_i}\right) + (m_i- m_i y_i)\log\left(\frac{m_i - m_i y_i}{m_i - m_i\hat{\mu}_i}\right)\right\}. \end{aligned}
The quantities m_i y_i and m_i - m_i y_i can be interpreted as the number of observed successes and failures, respectively. Similarly, m_i\hat{\mu}_i and m_i - m_i\hat{\mu}_i represent their predictions. Hence, we can write D(\bm{y}; \hat{\bm{\mu}}) = 2\sum_{j=1}^{2n}\textsf{observed}_j\, \log\left(\frac{\textsf{observed}_j}{\textsf{fitted}_j}\right)
The X^2 statistic of a binomial model, recalling that v(\mu_i) = \mu_i(1 - \mu_i), equals to \begin{aligned} X^2&= \sum_{i=1}^{n} \frac{(y_i - \hat{\mu}_i)^2}{\hat{\mu}_i(1-\hat{\mu}_i)/m_i} \\ & = \sum_{i=1}^{n} \frac{(m_i y_i - m_i\hat{\mu}_i)^2}{m_i\hat{\mu}_i} + \sum_{i=1}^{n} \frac{[(m_i - m_iy_i) - (m_i - m_i \hat{\mu}_i)]^2}{m_i -m_i \hat{\mu}_i}. \end{aligned} The second representation follows after some algebra.
The second equation shows that we can write X^2 = \sum_{j=1}^{2n} \frac{(\textsf{observed}_j - \textsf{fitted}_j)^2}{\textsf{fitted}_j}.
As already mentioned, the X^2 statistic can be seen as a quadratic approximation of the deviance.
The deviance is useful a descriptive measure for the goodness of fit.
It is tempting to use the deviance as a formal statistical test, to verify if the current model is adequate compared to the saturated model.
Suppose \phi were known, then in the Gaussian case we would have D(\bm{y}; \hat{\bm{\mu}})/\phi \sim \chi^2_{n-p}, which would allow us to check the adequacy of the model.
Unfortunately, whenever \hat{\phi} is estimated we obtain D(\bm{y}; \hat{\bm{\mu}})/\hat{\phi} \approx n - p, and exactly n-p in the Gaussian case, so this strategy can not be used.
On the other hand, for example in Poisson e binomial regression, we have \phi = 1. Hence, the intuition tells us that, at least approximately, we should have D(\bm{y}; \hat{\bm{\mu}}) \; \dot \sim \; \chi^2_{n-p}.
Unfortunately, this is not the case: the saturated model is an “irregular case” in that the number of parameters p = n grows with the sample size.
The usual “large n” approximation does not hold in general, e.g. because \chi^2_{n-p} itself depends on n.
Then the deviance D(\bm{y}; \hat{\bm{\mu}}) and the X^2 Pearson statistic are approximately distributed as a \chi^2_{n-p} in the following cases:
Small-dispersion asymptotics describe an alternative limiting regime in which the variance of the observations tends to 0.
In binomial regression the X^2 statistic converges to \chi^2_{n-p} more quickly than the deviance and has a more trustworthy p-value when some expected success or failure totals are less than about five.
The \chi^2_{n-p} approximation is very poor for binary regression, i.e. when m_i = 1.
There exist several generalizations of the R^2 statistic for linear models, called pseudo-R^2 (e.g. McFadden, Cox & Snell, Nagelkerke, Tjur, etc.).
These indices are difficult to interpret and could mislead those accustomed with standard R^2. A pseudo-R^2 \approx 0.4 may indicate a nearly perfect fit (i.e. Beetles data), which is confusing.
On top of this, these pseudo-R^2 produce different answers depending on the aggregation of the data.
The recommendation is to rely on indices tailored for the data at hand, such as the ROC curve for binary data, or the correlation between \bm{y} and \hat{\bm{\mu}}.
The residual deviance is also a useful tool, especially for comparing models.
Beetles data, output of summarysummary of a GLM looks like. It is very similar to the summary of lm. At this stage of the course, you should be able to understand almost everything.
Call:
glm(formula = cbind(deaths, m - deaths) ~ logdose, family = "binomial",
data = Beetles)
Coefficients:
Estimate Std. Error z value Pr(>|z|)
(Intercept) -60.717 5.181 -11.72 <2e-16 ***
logdose 34.270 2.912 11.77 <2e-16 ***
---
Signif. codes: 0 '***' 0.001 '**' 0.01 '*' 0.05 '.' 0.1 ' ' 1
(Dispersion parameter for binomial family taken to be 1)
Null deviance: 284.202 on 7 degrees of freedom
Residual deviance: 11.232 on 6 degrees of freedom
AIC: 41.43
Number of Fisher Scoring iterations: 4
Null deviance corresponds to the null deviance D(\bm{y}; \hat{\bm{\mu}}_\text{null}).
Residual deviance corresponds to the deviance D(\bm{y}; \hat{\bm{\mu}}) of the current model.
Beetles data, output of anovaanova(model0, model1) computes log-likelihood ratio test comparing two nested models: the reduced model M_0 with p_0 parameters and the full model M_1 with p parameters.Analysis of Deviance Table
Model 1: cbind(deaths, m - deaths) ~ 1
Model 2: cbind(deaths, m - deaths) ~ logdose
Resid. Df Resid. Dev Df Deviance Pr(>Chi)
1 7 284.202
2 6 11.232 1 272.97 < 2.2e-16 ***
---
Signif. codes: 0 '***' 0.001 '**' 0.01 '*' 0.05 '.' 0.1 ' ' 1
Resid Df are the degrees of freedom of the deviances, that is n - p_0 and n-p, respectively.
Resid. Dev are the deviances of the reduced model D(\bm{y}; \hat{\bm{\mu}}_0) and the full model D(\bm{y}; \hat{\bm{\mu}}). In this example, the reduced model is also the null model.
Df refers to the degrees of freedom q = p- p_0 of the test, which is q = 1 in this case.
Deviance indicates the change in deviance, that is \phi W = D(\bm{y}; \hat{\bm{\mu}}_0) - D(\bm{y}; \hat{\bm{\mu}}).
Pr(>Chi) is the p-value of the log-likelihood ratio test W.
Beetles data, goodness of fitThe deviance equals D(\bm{y}; \hat{\bm{\mu}}) = 11.232, with n - p = 8 - 2 = 6 degrees of freedom. The observed X^2 Pearson statistic equals 10.027.
Using the X^2 statistic with 6 degrees of freedom, we obtain the p-value \mathbb{P}(X^2 > 10.027) = 0.124, as pictured above, which can be interpreted as a slight lack of fit.
Aids data, output of summarysummary of the Poisson regression model with the Aids data.
Call:
glm(formula = deaths ~ period, family = "poisson", data = Aids)
Coefficients:
Estimate Std. Error z value Pr(>|z|)
(Intercept) 0.30365 0.25387 1.196 0.232
period 0.25896 0.02224 11.645 <2e-16 ***
---
Signif. codes: 0 '***' 0.001 '**' 0.01 '*' 0.05 '.' 0.1 ' ' 1
(Dispersion parameter for poisson family taken to be 1)
Null deviance: 208.754 on 13 degrees of freedom
Residual deviance: 30.203 on 12 degrees of freedom
AIC: 86.949
Number of Fisher Scoring iterations: 5
Aids data, output of anova and lrtestAnalysis of Deviance Table
Model 1: deaths ~ 1
Model 2: deaths ~ period
Resid. Df Resid. Dev Df Deviance Pr(>Chi)
1 13 208.754
2 12 30.203 1 178.55 < 2.2e-16 ***
---
Signif. codes: 0 '***' 0.001 '**' 0.01 '*' 0.05 '.' 0.1 ' ' 1
The use of the term deviance to indicate the difference between two deviances is a bit misleading. I do not know the the reason, but the lrtest function of the lmtest package changed it.
Likelihood ratio test
Model 1: deaths ~ 1
Model 2: deaths ~ period
#Df LogLik Df Chisq Pr(>Chisq)
1 1 -130.750
2 2 -41.475 1 178.55 < 2.2e-16 ***
---
Signif. codes: 0 '***' 0.001 '**' 0.01 '*' 0.05 '.' 0.1 ' ' 1
Aids data, goodness of fitThe deviance equals D(\bm{y}; \hat{\bm{\mu}}) = 30.203, with n - p = 14 - 2 = 12 degrees of freedom. The observed X^2 Pearson statistic equals 29.92.
Using the X^2 statistic with 12 degrees of freedom, we obtain the p-value \mathbb{P}(X^2 > 29.92) = 0.0028, therefore rejecting the hypothesis that this model has a comparable fit with the saturated model.
The X^2 goodness of fit test indicates a potential issue with the model, but it does not explain why.
A few remedies could be:
GLMs do not have an additive decomposition, therefore we need define a good generalization of residuals. There are at least 2 alternatives: Pearson and deviance residuals.
Ideally, we would like residuals to have approximately 0 mean and unitary variance, but these properties will not hold exactly.
For a GLM with variance function v(\mu_i), we call Pearson residuals the following quantities: r_{i, P} = \frac{y_i - \hat{\mu}_i}{\sqrt{v(\hat{\mu}_i)/\omega_i}}, \qquad i=1,\dots,n.
Pearson residuals rescale the response residuals, accounting for heteroschedasticity.
Pearson residuals own their name to the fact that the X^2 statistic is obtained as X^2 = \sum_{i=1}^n r_{i, P}^2 = \sum_{i=1}^n \omega_i \frac{(y_i - \hat{\mu}_i)^2}{v(\mu_i)}. Moreover, the dispersion parameter, when present, can be estimated as \hat{\phi} = \frac{1}{n - p}\sum_{i=1}^n r_{i, P}^2.
The deviance of a GLM can be written as a sum of individual contributions D(\bm{y}; \hat{\bm{\mu}}) = \sum_{i=1}^n d_i and d_i = 2 \omega_i\left\{y_i [\theta(y_i) - \theta(\hat{\mu}_i)] - [b(\theta(y_i)) - b(\theta(\hat{\mu}_i))]\right\}, \qquad i=1,\dots,n. We call deviance residuals the following quantities: r_{i, D} = \text{sign}(y_i - \hat{\mu}_i) \sqrt{d_i}, \qquad i=1,\dots,n.
By definition, the deviance is obtained as D(\bm{y}; \hat{\bm{\mu}}) = \sum_{i=1}^n r_{i, D}^2.
Deviance residuals are the default choice in the residuals R function.
Pearson residuals are an asymptotic approximation of deviance residuals, therefore these two quantities are often very similar in practice.
Several arguments can be invoked to justify the following weighted hat matrix in GLMs \bm{H}_W = \bm{W}^{1/2}\bm{X}(\bm{X}^T\bm{W}\bm{X})^{-1}\bm{X}\bm{W}^{1/2}. This matrix is symmetric (\bm{H}_W = \bm{H}_W^T) and idempotent (\bm{H}_W^2 = \bm{H}_W), i.e. a projection matrix.
We denote with h_{i,W} the diagonal elements of \bm{H}_W, which are the leverages of a GLM. In practice \bm{W} is estimated from the data, therefore the leverages will depend on the response.
It can be shown, as in Agresti (2015), Section 4.4.5, that \text{var}(y_i - \hat{\mu}_i) \approx \phi/\omega_i v(\mu_i)(1 - h_{i, W}) \quad \Longrightarrow \quad \text{var}(r_{i,P}) \approx \phi(1 - h_{i, W}).
In analogy of what has been done for GLMs, we can consider the standardized version of Pearson and deviance residuals.
Standardized Pearson residuals are defined as \tilde{r}_{i, P} = \frac{r_{i,P}}{\sqrt{\hat{\phi}(1 - \hat{h}_{i, W})}} = \frac{y_i - \hat{\mu_i}}{\sqrt{\hat{\phi}/\omega_iv(\hat{\mu}_i)(1 - \hat{h}_{i, W})}}, \qquad i=1,\dots,n, where \hat{\phi} is an estimate of \phi (if unknown) and \hat{h}_{i, W} is an estimate of the leverages.
Standardized deviance residuals are defined as \tilde{r}_{i, D} = \frac{r_{i, D}}{\sqrt{\hat{\phi} (1 - \hat{h}_{i, W})}}, \qquad i=1,\dots,n.
We can also obtain an approximate Cook’s distance by considering c_i = \tilde{r}_{i,P}^2 \frac{\hat{h}_{i, W}}{p(1 - \hat{h}_{i,W})}, \qquad i=1,\dots,n.
It is sometimes recommended to check the normality of the Pearson/deviance residuals using Q-Q plots. Such a plot is also provided in R.
Indeed, for example under small dispersion asymptotics or other specific, Pearson residuals are approximately Gaussian.
However, these conditions are often not met. For example, in binary data the response y_i \in \{0, 1\} can only assume two values and the residuals will not be Gaussian distributed, even for large n.
Actually, the analysis for the residuals in binary data do not provide useful information; see e.g. Salvan et al. (2020), Section 3.6.
The analysis of residuals in GLMs is often useful but should be taken cum grano salis, particularly when dealing with discrete responses that take only a few distinct values.
Overreliance on residual analysis can encourage automatic decisions rather than thoughtful, critical judgment. A good model should not be discarded solely on the basis of a “bad” diagnostic plot.
The analysis of the residuals can also help in identifying outliers and influence points. However, we must be careful in drawing conclusions.
An outlier might be detected as such simply as the consequence of model misspecification, e.g. an omitted variable.
In the vast majority of cases, the presence of outliers should be carefully dealt with by carefully modifying the model.
There are instances in which outliers are actually contaminated data points (e.g. age = -3). If there is strong and contextual evidence that this might be the case, then these points should be removed. Otherwise, removing data points is a bad practice.
In statistical modelling, we wish to find a model that fits our data, not a dataset that is aligned with our prescribed model.
Discarding observations until the hypoteshes are reasonable it skews the overall analysis and does not answer any meaningful scientific or business question.
Beetles dataA formal test already confirmed that there are no noticeable differences between this model and the saturated model. The analysis of the residuals confirms it.
Deviance residuals and Pearson residuals are very similar, as expected.
Beetles dataAids dataFrom both residuals plots it is evident that three observations are highly underestimated, while the others are slightly underestimated.
The lack of fit can be solved, in this case, by using a different link function.
Aids dataWe estimated a Poisson regression model with a non-canonical link function g(\mu_i) = \sqrt{\mu_i}.
This yields a much better fit, as we previously discussed. The residuals are also better behaved.
Model selection for GLMs faces the same issues as for linear models.
The selection process becomes more difficult as the number of explanatory variables p increases, because of the growth in possible effects and interactions. There are two competing goals:
Most research studies are designed to answer certain questions, which guide the choice.
Confirmatory analyses use a restricted set of models, e.g. for testing a study hypothesis about an effect by comparing models with and without that effect.
Exploratory studies, instead, search among possible models which may provide clues about the structure of effects or can raise questions for future research.
With p explanatory variables, the number of potential models is the huge number \sum_{k=1}^p \binom{p}{k} = 2^p.
Best subset selection identifies the model that optimizes an information criterion e.g. AIC or BIC, which are defined as \textsf{AIC} = - 2\ell(\hat{\beta}) + 2k, \qquad\textsf{BIC} = - 2\ell(\hat{\beta}) + k\log{n}, where k is the number of parameters in the model.
Best subset selection is computationally intensive when p is large, to the extent that it is not even feasible in most cases, but approximations such as forward and backward selection are possible.
In exploratory studies, these methods are useful if applied cautiously.
As we shall discuss, an excess of automatism may lead to good predictive performance, but it may fail in making the model simple or interpretable.
Forward selection adds terms sequentially. At each stage it selects the term giving the greatest improvement in terms of deviance or other goodness of fit measures.
The process stops when further additions do not improve the it, according to statistical significance (i.e. a log-likelihood ratio test) or a criterion for judging the model fit (such as the AIC or BIC).
A stepwise variation of this procedure rechecks, at each stage, whether terms added at previous stages are still needed.
Backward elimination begins with a complex model and sequentially removes terms.
At each stage, it selects the term whose removal has the least damaging effect on the model, such as the largest p-value in a test or the least deterioration in a criterion for judging the model fit.
The process stops when any further deletion leads to a poorer it.
Whenever possible, i.e. when p is not too large, we recommend manually performing each stage of forward or backward procedures and avoid fully automatic procedures.
Statistical significance is not the same as practical significance; do not rely only on significance tests.
The price to pay for adding an irrelevant variable is an increase in variance of the estimates. The price to pay for dropping a relevant variable is an increase in bias.
Comments on forward/backward selection I
An interaction term should not be included without its main effects.
For qualitative predictors with >2 categories: add/drop the entire variable, not just one indicator. Otherwise, results depend on the reference category used in coding.
Some statisticians prefer backward elimination over forward selection. It is safer to delete terms from an overly complex model than to add to an overly simple one.
Forward selection based on significance tests:
Neither backward nor forward strategies guarantee a meaningful model.
Evaluating many terms increases risk of chance findings. If true effects are weak, the largest sample effect likely overestimates the truth.